Research & Publications

 

Nature Metabolism Paper
Bioorganic Chemistry

Collaboration with Prof. Lucas Sullivan

(Fred Hutchinson Cancer Center, Seattle, WA)

Collaboration with Prof. Sridhar Mani

(Albert Einstein College of Medicine)

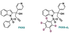
Prof. Shridar Mani - FKK6 and related compounds as microbial-mimicry of pregnane X receptor (PXR)[1-4]

Prof. Mani, in collaboration with the chemical synthesis core facility, developed an indole-based microbial metabolite mimic series, including FKK6, acting as ligand and agonist of PXR. The compound showed promising activity in mouse-model colorectal cancer[1] and colitis.[2] In addition to the development of the chemical series, we synthesized standards and probes such as FKK6-d5 and biotinylated probes.

Selected publications: [1] Sládeková et al., Unlocking the Potential: FKK6 as a Microbial Mimicry-Based Therapy for Chronic Inflammation-Associated Colorectal Cancer in a Murine Model, BioRXiv 2024, 10.1101/2024.07.30.605845v1; [2] Dvořák et al., In vitro safety signals for potential clinical development of the anti-inflammatory pregnane X receptor agonist FKK6, Biorg. Chem. 2024, 144, 107137; [3] Li et al., Deciphering structural bases of intestinal and hepatic selectivity in targeting pregnane X receptor with indole-based microbial mimics, Biorg. Chem. 2021, 109, 104661; [4] Dvořák et al., Targeting the pregnane X receptor using microbial metabolite mimicry, EMBO Mol. Med. 2020, 12, e11621.